Share this page:  
 

Country Resources

You can use this page to view various resources like "Reaching the Nations", "Statistical Profile", "LDS International Atlas" and
"Photos" of the selected country.




Japan

Population: 127.1 millions (#11 out of 246 countries)

Statistical Profile

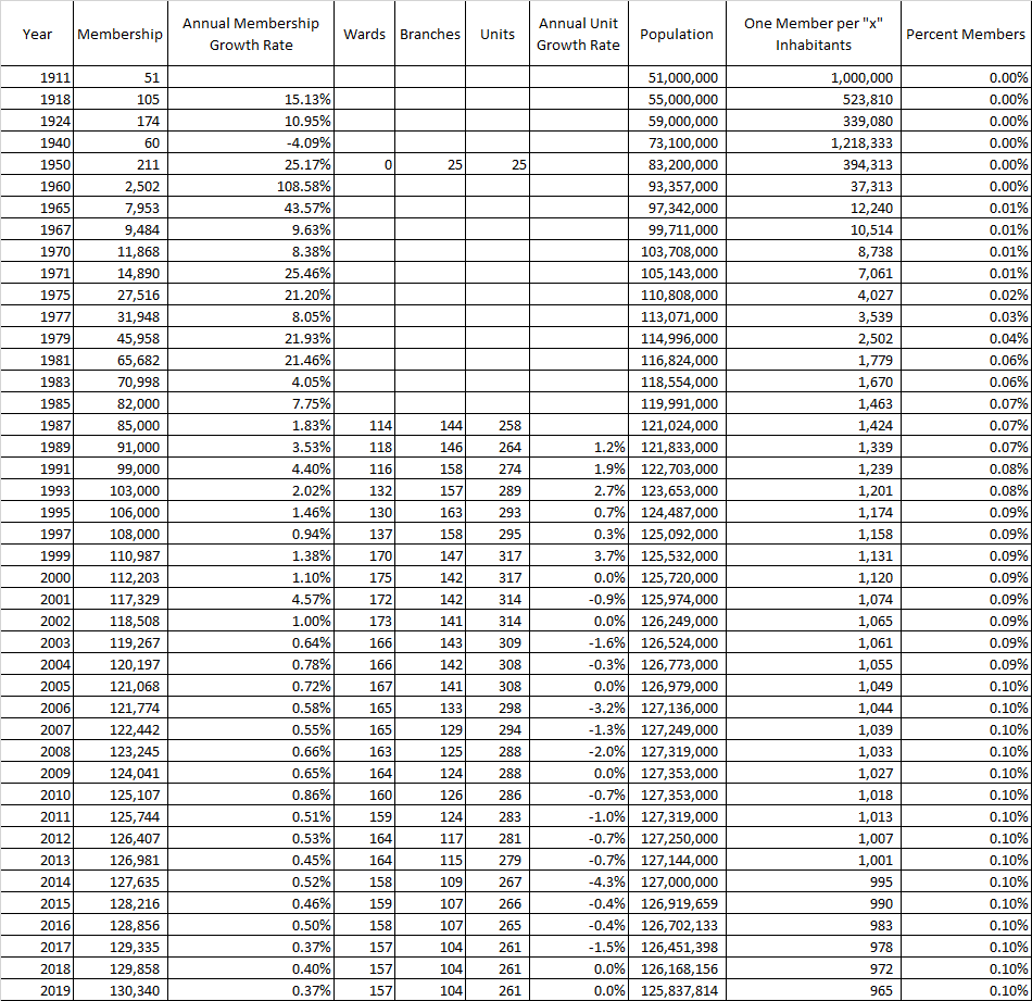
  • Membership Growth Graph


  • Membership and Congregational Growth Table


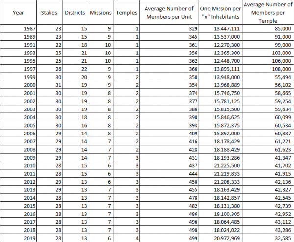
  • Comparative Growth Table


  • Congregational Growth Graph


  • Stake and District Growth Graph


  • Stake and District Table


  • Number of Missions Graph


  • Number of Temples Graph


  • Average Number of Members per Ward or Branch


  • Average Population Served by Mission


  • Average Number of Members per Temple


  • Percent Latter-day Saints in the Population Graph


  • Percent of the Population Reached by the Church