Share this page:  
 

Country Resources

You can use this page to view various resources like "Reaching the Nations", "Statistical Profile", "LDS International Atlas" and
"Photos" of the selected country.




France

Population: 66.26 millions (#22 out of 246 countries)

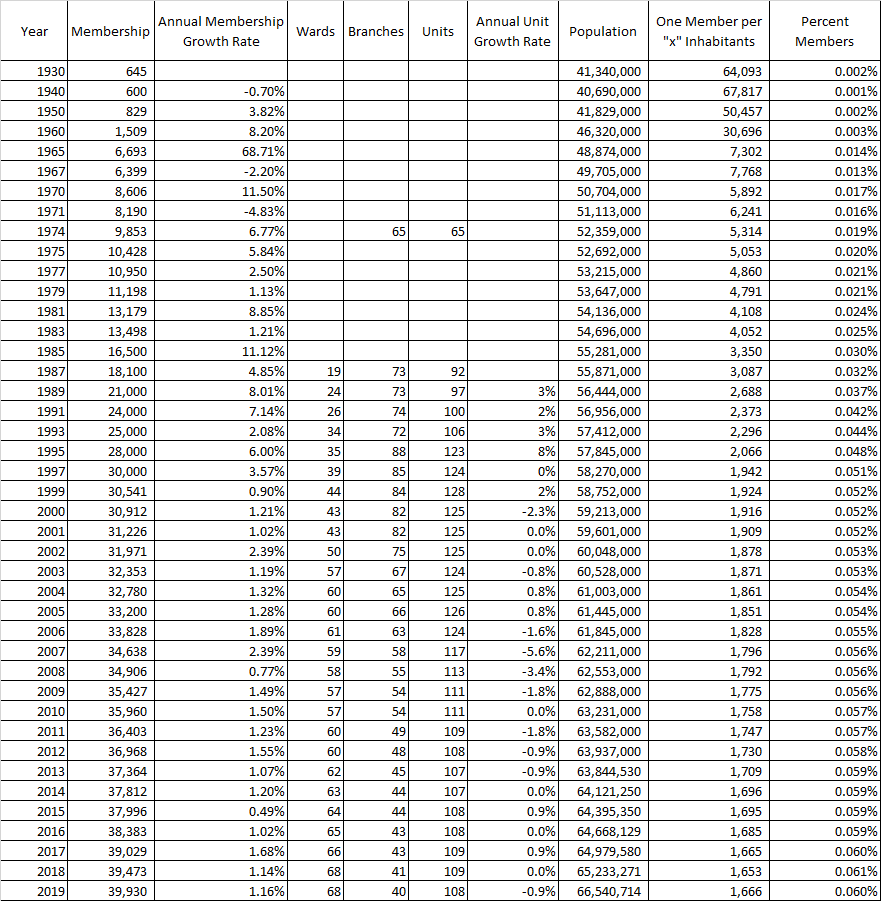
Statistical Profile

  • Membership Growth Graph


  • Membership and Congregational Growth Table


  • Comparative Growth Table


  • Congregational Growth Graph


  • Stake and District Growth Graph


  • Stake and District Table


  • Number of Missions Graph


  • Average Number of Members per Ward or Branch


  • Average Population Served by Mission


  • Percent Latter-day Saints in the Population Graph


  • Percent of the Population Reached by the Church