Share this page:  
 

Country Resources

You can use this page to view various resources like "Reaching the Nations", "Statistical Profile", "LDS International Atlas" and
"Photos" of the selected country.




Congo, Democratic Republic of the

Population: 77.43 millions (#20 out of 246 countries)

Statistical Profile

  • Membership Growth Graph



  • Congregational Growth Graph


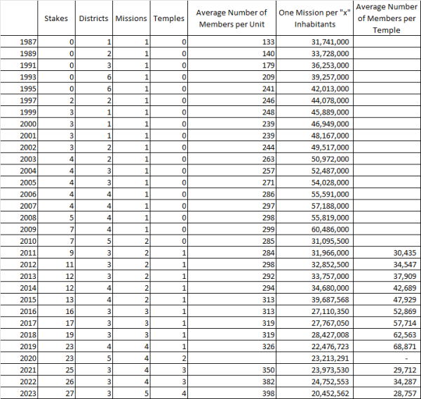
  • Stake and District Table


  • Stake and District Graph


  • Number of Missions Graph


  • Average Number of Members per Ward or Branch


  • Percent Latter-day Saint


  • Comparative Growth Table


  • Percent of the Population Reached by the Church